| Use Case Name : ../ShowInhibition | 
| For Feature : MIM Editor | 
| Editors: DavidKane | 
<<TableOfContents: execution failed [Argument "maxdepth" must be an integer value, not "[2]"] (see also the log)>>
Summary
A user wants to describe the possibility that one species can inhibit the completion of another reaction.
Step-by-Step User Action
- User specifies a species; this is the inhibiting agent
- User specifies the reaction that is to be inhibited
- User specifies the inhibition relationship
- User optionally specifies the evidence for this reaction
Visual Aides
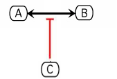
The Kohn notation for this reaction is the following:
 
 
Here is an example of how this symbol would be applied:
 
 
The color in this example is convention, and is not an essential element in the notation.
Requirements for Cytoscape
Could be modeled as a Hyperedge containing node1: C (hyperedge attribute: inhibition), node2: A, node3: B
View: Use case for hyperedge view
Importance
This is one of several reaction modifiers, and it is very common in the maps. There are several other structurally similar relationships.
Other Examples
Variations
This examples show the concept of Mutually Exclusive Binding using the inhibition relationship.
 
 
Comments
Shared ../MimEditorUseCaseComments
- The BioPAX representation could be either either a Control (for catalysts) or a Biochemical Reaction.
- 2006-11-17 03:40:50 - Basic mechanism will be implemented in HyperEdge editor plugin for Cytoscape 2.4. 
 
 Cytoscape Wiki
 Cytoscape Wiki